当前位置: 首页>>部门动态

朝阳区市场监督管理局公示“你点我检”活动(2025年第13期)抽检结果

日期:2025-12-31 10:56 来源:北京市朝阳区市场监督管理局 打印页面 关闭页面

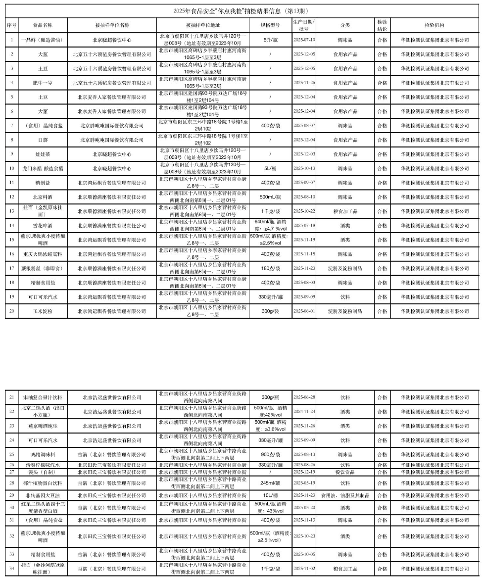
收官不松劲,食安伴跨年。本次食品安全“你点我检”活动走进餐厅,抽取了年终消费量较大的蔬菜、粮食加工品、饮料、酒类、调味品等食材品种,经第三方检验机构检测均合格。现将抽检结果公示如下: